What is a Memristive Oscillation?
Memristive oscillation is a newly discovered electrical phenomenon in which a memristor generates self-sustained oscillations when placed in a circuit (‘A memristive oscillator’ by Y. Oshima et al. Adv. Phys. Res. 3, 2300117 (2024)). Unlike conventional oscillators that require active components like transistors or operational amplifiers, memristive oscillation arises naturally from the internal dynamics of the memristor itself.
This discovery has significant implications for neuromorphic computing, as it enables a simple and energy-efficient way to generate spike-like signals, similar to the firing of biological neurons. By adding just a capacitor, a memristor can function as an oscillator, opening new possibilities for artificial neural networks and next-generation computing.

How It Works
The Science Behind Memristive Oscillation
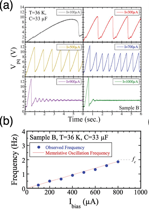
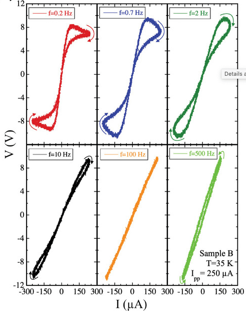
Memristors are special electronic components whose resistance depends on the history of current flow. This unique property allows them to exhibit a pinched hysteresis loop, a characteristic feature of dynamic resistance.

In our research, we discovered that when a memristor is placed in a circuit with a capacitor in parallel, it undergoes spontaneous oscillations. This is because the negative differential resistance and inductive reactance emerge thanks to the pinched hysteresis loop of the memristor. Such unique and hybrid properties of memristors lead to the self-oscillation by simply adding a single capacitor to complement the resonating LCR circuit.


We found that the memristive oscillation is a universal phenomenon of memristors and any memristor can be used as an oscillator, making it a key component for future brain-inspired computing.
Applications
How Memristive Oscillation Can Revolutionize Technology
Memristive oscillation opens the door to multiple applications, particularly in neuromorphic computing, where artificial neurons are designed to mimic biological neural networks. Some of the key applications include:
🔹 Artificial Spiking Neurons – Memristive oscillators can act as spiking neurons, enabling low-power and scalable neuromorphic circuits.
🔹 Brain-Inspired AI Hardware – Unlike traditional silicon-based computing, memristor-based neuromorphic chips process information like the human brain, leading to faster and more energy-efficient AI.
🔹 Adaptive Learning Systems – Memristors naturally adapt to past signals, making them ideal for self-learning AI architectures.
🔹 Oscillator-Based Computing – Future computing architectures could use memristor oscillators to perform non-traditional computing tasks, such as associative memory and pattern recognition.
Future Research
What’s Next ?
This discovery is just the beginning. Many questions remain about the full potential of memristive oscillators, including:
✅ How can we fine-tune memristive oscillations for specific applications?
✅ What new materials can enhance the stability and tunability of memristors? (Need to work at room temperature)
✅ Can memristors be integrated into large-scale neuromorphic chips for real-world AI applications?
Our next steps involve optimizing memristor-based artificial neurons, improving their robustness, and exploring their applications in next-generation computing. As research progresses, memristive oscillation could pave the way for brain-like computing systems, energy-efficient AI, and beyond.